



例子


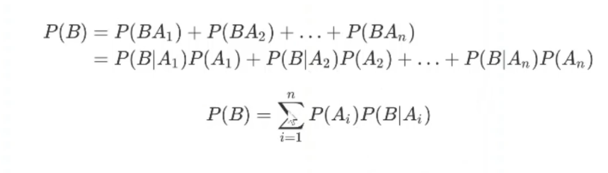
特征和类别相交 A是类别 B是特征


嫁|帅 4/5
嫁|性格不好 1/5
嫁|不上进 1/5



1、训练集
2、数据集合
3、切分数据集
4、切一部分训练集 一部分测试集
工具 jupyler lab 库sklearn
5、建模
6、训练
7、预测
8、看准确率
随机种子很重要

用于文本分类


记录php学习日志




例子


特征和类别相交 A是类别 B是特征


嫁|帅 4/5
嫁|性格不好 1/5
嫁|不上进 1/5



1、训练集
2、数据集合
3、切分数据集
4、切一部分训练集 一部分测试集
工具 jupyler lab 库sklearn
5、建模
6、训练
7、预测
8、看准确率
随机种子很重要

用于文本分类

